近日,智慧交通现代产业学院王飞博士科研团队在国际权威期刊《Dalton Transactions》发表题为“Novel red phosphor Ba3La2W2O12:Eu3+ with intense 5D0 - 7F4 transition and excellent thermal stability for white LEDs”(https://doi.org/10.1039/D5DT01523E)的研究性论文。该期刊是由英国皇家化学学会(Royal Society of Chemistry)出版的高质量国际学术期刊,创刊于1966年,为JCR一区期刊,中科院二区。且该研究成果已获国际发明专利1件。该工作得到了安徽省博士后科研项目、合肥市博士后科研项目和安徽省高端人才引育项目等项目的支持。
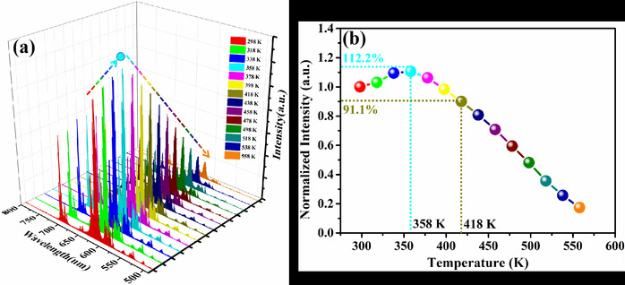
研究显示,该团队利用高温固相反应成功合成了一系列可在紫外-近紫外和蓝光激发的Ba3La2W2O12:Eu3+ (BLWO:Eu3+)红色荧光粉。系统研究了BLWO:Eu3+荧光粉的晶体结构、微观形貌和光学性质。BLWO:Eu3+的发射光谱主要是源于Eu3+的电偶极子5D0→7F2跃迁的616 nm红光发射。值得注意的是,702 nm处的5D0→7F4发射强度显著增强,达到最强5D0→7F2发射(616 nm)的大约70%。BLWO:Eu3+表现出优异的量子效率,其内部量子效率(IQE)为62.91%,外部量子效率(EQE)为35.23%,以及优异的热稳定性。得益于这些优越的性能,该荧光粉成功应用于WLED制造中。所得器件显示出CIE 1931色度坐标为(0.3453,0.3518)的暖白光和80.3的高显色指数(Ra)。这表明BLWO:Eu3+荧光粉可应用于绿色照明和道路工程安全领域。
未来,学校将继续加大对科研团队创新研究的支持力度,鼓励更多科研团队依托交通信息安全重点实验室、清华大学(车辆国重)-三联智能网联汽车安全联合研究中心开展更具前沿性、创新性的研究工作。(撰稿:高心仪 图片:王飞 编辑:任玥)




皖公网安备 34012302000323号

